摇床振幅如何正确选择
590 人阅读发布时间:2023-09-11 11:25
摇床振幅如何正确选择?
什么是摇床的振幅?
摇床的振幅指托盘在做圆周运动时候的直径,有时候我们也叫“振荡直径”或“轨道直径”符号:Ø。
什么是氧气传递效率(OTR)?
氧气传递效率是指,氧气从大气中传入到液体中的效率。OTR数值越高,氧传递效率越高。
振幅和转速的影响
这两个因素都会影响培养瓶中培养基的混合。 混合效果越好,氧传递速率(OTR)就越好。遵循这些指导原则,可以选择最适合的振幅和转速。
一般来说,选择25mm振幅可以作为万能振幅应用于所有培养。
正因为如此,大多摇床的振幅都是25毫米。在一些应用中,如果对氧传递/细胞生长有特殊的限制,可能会选择一些特殊的振幅。
细菌,酵母和真菌培养:
摇瓶中的氧气传递效率比生物反应器低得多。多数情况下氧传递可能是摇瓶培养的限制因素。 振幅与锥形培养瓶的大小相关:大瓶使用大振幅。
建议:25mm振幅应用于从25毫升到2升的锥形培养瓶
50mm振幅应用于2升至5升的锥形培养瓶
细胞培养:
* 然而,哺乳动物细胞培养对氧气的需求相对较低,较低的功率输入即可。
* 对于250mL摇瓶,在较为宽广的振幅和振速范围(20-60mm振幅;100-300rpm)都可以提供足够的氧气传递。
* 如果直径较大的烧瓶(Fernbach烧瓶)推荐使用50毫米振幅
* 使用一次性培养袋,推荐使用50mm振幅。
微孔板和深孔板:
对微孔板和深孔板有两种不同的方法可以获得最大的氧气转移!
* 50mm振幅,转速不低于250rpm
* 使用3mm振幅,转速在800-1000rpm
请注意以下几点
在许多情况下即使选择了合理的振幅,也未必能增加生物培养量,因为培养量的增加会受到多个因素影响。举例:如果十个因素中有一两个不理想,那么无论其他因素有多好,培养量的增长都是有限的,或者可以这样说,如果培养量的受限因素只有氧传递时,振幅的正确选择会得到明显的培养箱增加。比如,碳源若是受限因素,无论氧传递效果多好,也不会达到理想的培养量。
振幅和转速
振幅和转速都会对氧传递造成影响。如果在转速很低(比如100rpm)的细胞培养中,振幅的不同对氧传递几乎没有明显影响。要达到最高的氧传递效果,首先是尽可能的提高转速,托盘会适当的平衡转速。并不是所有的培养物都能够在高速震荡下良好生长,一些对剪切力敏感的培养物,高转速会导致培养物死亡。
其他影响因素
其他因素对氧传递也会有影响:
* 装液量,锥形烧瓶的装液量为不超过总体积的三分之一。如果要达到最大氧传递,装液量不能超过10%。永远不要将装液量达到50%。
* 扰流板:在所有类型的培养中,扰流板都有效提高氧传递。有些厂家推荐使用“超高产量”培养瓶。这种瓶的扰流板会增大液体摩擦力,摇床可能会达不到最大设定转速。
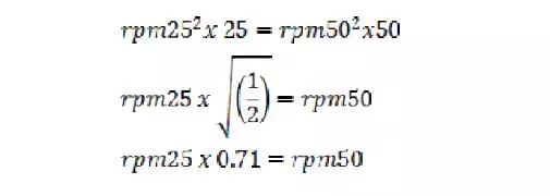
振幅和转速的关联关系
摇瓶中的离心力可以通过下面公式计算
FC=rpm2 ×振幅
离心力和振幅间存在线性关系:如果使用25mm振幅 到 50mm振幅(转速相同),离心力增加了2倍
离心力和转速存在平方关系:
如果转速提高到2倍(振幅相同),离心力提高4倍。如果转速提高到3倍,离心力则提高9倍!
如果用振幅25mm,在给定的速度下,进行培养。如果希望用振幅50mm,达到相同的离心力,转速应该用1/2的平方根计算,因此您应该使用70%的转速,达到形同的培养条件。

请注意上述只是理论上的计算离心力的方法。现实应用中会有其他影响因素。这种计算方法可以得到近似值,供操作参考。